VIC-3D 在疲劳裂纹扩展速率表征中的关键作用:基于塑性区的全场测量与多参数建模
疲劳裂纹扩展(FCG)行为的精准表征是弹塑性断裂力学领域及工程结构安全评估的核心课题,裂纹尖端塑性区的演化特性直接决定疲劳裂纹扩展速率(FCGR)。然而,传统基于应力强度因子 K 的线性弹性分析方法,难以适配高载荷比、大塑性变形等复杂工程工况,无法精准反映裂纹尖端的实际变形规律。数字图像相关(DIC)技术凭借全场化、非接触式、高精度的测量优势,已成为捕捉裂纹尖端塑性区尺寸、应变场演化特征的核心技术手段。
《Engineering Fracture Mechanics》期刊发表的一项研究(Zhao et al., 2025)以 TC4ELI 钛合金为研究对象,依托 VIC-3D DIC 系统开展不同载荷比下的疲劳裂纹扩展实验,成功实现裂纹尖端单调/循环塑性区的定量表征,并结合多参数耦合策略建立了高精度 FCGR 预测模型。该研究有效突破了传统单一参数表征的局限性,为弹塑性条件下疲劳裂纹扩展行为的评估提供了全新范式,其中 VIC-3D 的全场应变测量能力,成为解析裂纹尖端塑性变形机制、量化塑性区尺寸的核心技术支撑。
一、研究背景与挑战
工程结构中,钛合金等延性材料在循环载荷作用下,裂纹尖端会形成单调塑性区(rp)与循环塑性区(rc),二者的尺寸及演化规律直接影响 FCGR,且载荷比(R)、裂纹长度等因素会显著改变塑性区的形态与分布特征。传统研究多依赖 Irwin 理论模型计算塑性区尺寸,或通过单点测量获取局部应变数据,存在两大核心局限:
1. 理论模型仅适用于线弹性小范围屈服条件,当裂纹尖端剩余韧带区小于 4 倍单调塑性区尺寸时,线性弹性假设失效,导致计算结果偏于保守,无法反映实际弹塑性变形状态;
2. 单点测量无法捕捉裂纹尖端塑性区的全场形态(如“蝴蝶形”演化特征)及应变梯度分布,难以精准量化塑性区面积与等效尺寸,无法为 FCGR 建模提供全面、真实的实验数据。
因此,亟需采用具备全场化、非接触式、高时空分辨率的应变测量技术,捕捉不同载荷比、不同裂纹扩展阶段下裂纹尖端的塑性应变场演化规律,为塑性区尺寸定量分析及 FCGR 建模提供可靠的实验数据支撑。
二、VIC-3D 的技术优势与适配性
VIC-3D 系统是基于数字图像相关(DIC)原理研发的三维光学测量设备,本研究中通过该系统结合 CCD 硬件与 VIC-Snap 采集软件,构建了裂纹尖端变形的全场测量平台,其核心技术优势与本研究的实验需求高度适配,具体如下:
1. 全场化测量:通过散斑图像匹配技术,可一次性重构裂纹尖端区域的三维位移场与应变场,完整捕捉单调/循环塑性区的形态、边界及应变分布特征,有效解决了传统单点测量的局限性;
2. 非接触式测量:无需在试样表面粘贴传感器,仅通过喷涂氧化钴散斑即可实现变形捕捉,避免了传感器对裂纹尖端塑性变形的干扰,可适配疲劳循环载荷下的动态测量场景;
3. 高精度量化能力:感兴趣区域(ROI)的空间分辨率可达 31.6 μm/像素,能够精准识别满足屈服应变条件的塑性区范围,结合像素计数法可实现塑性区面积的精准定量计算;
4. 动静结合测量:既可采集循环载荷峰值/谷值状态下的静态应变场,实现单调/循环塑性区的有效区分,也可实时追踪裂纹扩展过程中塑性区的动态演化,记录应变场随裂纹长度的变化规律;
5. 多参数协同分析:基于测量得到的应变场可进一步推导应力场,同步获取裂纹尖端的峰值应力、应变范围、主应力分布等关键力学参数,为 FCGR 多参数建模提供全面的数据基础。
上述技术特性使 VIC-3D 成为研究“载荷比-塑性区演化-FCGR”内在关联的理想工具,成功实现了从“理论计算塑性区”到“实验实测塑性区”的实践突破,为弹塑性条件下的 FCGR 表征提供了全新实验路径。
图1 DIC结合疲劳试验的图像采集设备
三、VIC-3D 在多参数疲劳裂纹扩展速率表征研究中的具体应用
研究以 TC4ELI 钛合金紧凑拉伸(CT)试样为研究对象,在载荷比 R=0.1~0.8、恒定载荷幅条件下开展疲劳裂纹扩展实验,VIC-3D 系统贯穿塑性区识别、尺寸量化、应变/应力场演化分析的全流程,为 FCGR 多参数模型的建立提供了核心实验数据,具体应用如下:
1. 裂纹尖端单调/循环塑性区的精准识别与尺寸量化
塑性区的精准判定是其尺寸量化的基础,VIC-3D 通过全场应变场测量,结合材料屈服准则,实现了单调与循环塑性区的精准区分及边界识别,具体流程如下:
· 单调塑性区识别:以载荷峰值图像为参考基准,通过 VIC-3D 系统获取裂纹尖端总应变场,将满足 ε≥εeq(等效屈服应变 0.0093)的区域判定为单调塑性区,对应材料在加载过程中的拉伸屈服行为;
· 循环塑性区识别:以载荷峰值为参考、谷值为目标,通过 VIC-3D 系统获取应变范围场(Δε),将满足 Δε≥Δεeq(等效循环屈服应变 0.014)的区域判定为循环塑性区,对应材料在加/卸载过程中的拉-压反向屈服行为;
· 等效尺寸计算:通过 VIC-3D 输出的应变云图,结合 MATLAB 软件将塑性区转化为灰度图,采用像素计数法计算塑性区面积(Ap/Ac),并将不规则塑性区等效为圆形,通过公式 rp=2Ap/π、rc=2Ac/π得到塑性区等效尺寸,有效解决了传统理论模型仅能计算裂纹延伸线方向塑性区长度的局限。
图2 DIC结合弹塑性理论描述裂纹尖端单调循环塑性区
图3 不同载荷工况下的DIC应变云图
实验结果表明,VIC-3D 实测的塑性区尺寸显著大于 Irwin 理论模型的计算值,且能够精准反映载荷比对 rc 的影响(传统理论模型中 rc 与 R 无关),测量结果更贴合材料实际弹塑性变形规律。
2. 裂纹尖端应变/应力场演化的全场追踪
借助 VIC-3D 的全场测量能力,本研究实现了裂纹长度、载荷比双因素下裂纹尖端应变/应力场的动态演化追踪,明确了塑性变形的核心规律:
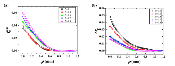
· 随裂纹长度的演化:当裂纹持续扩展、ΔK/Kmax 增大时,VIC-3D 捕捉到裂纹尖端峰值塑性应变、应变范围呈渐进式增大,塑性区形态从近圆形向“蝴蝶形”逐步演化,且单调塑性变形的增长速率高于循环塑性变形(rc/rp 随裂纹长度减小),表明裂纹扩展后期单调塑性区主导材料变形行为;
· 随载荷比的演化:在相同 Kmax 条件下,VIC-3D 实测结果显示,载荷比越大,裂纹尖端峰值塑性应变越大、应变范围越小;在相同 ΔK 条件下,载荷比越大,峰值应力/应变、应力/应变范围均显著增大,证实载荷比通过调控裂纹尖端塑性变形状态,间接影响 FCGR;
· 应力场推导:基于 VIC-3D 获取的应变场数据,结合 Ramberg-Osgood 本构关系,推导得到裂纹尖端应力场,发现实测应力介于平面应力与平面应变解析解之间,且裂纹尖端 0.043 mm 范围内因塑性钝化出现明显应力松弛,有效修正了传统线性弹性应力场的假设偏差。
这些全场演化规律,为解析“塑性区尺寸-FCGR”的内在关联提供了直接、可靠的实验证据,为多参数建模奠定了理论与数据基础。
图4 DIC测量的裂纹尖端应力变化
图5 DIC测量的裂纹尖端塑性应变变化
图6 DIC结合断裂理论测量不同裂纹状态的应力强度因子 |
3. FCGR 多参数预测模型的实验验证与建模
本研究的核心创新点的是建立基于等效塑性区尺寸(reff)的 FCGR 预测模型,而 VIC-3D 实测的 rp、rc 是该模型建立的核心实验数据,具体支撑作用如下:
· 参数关联分析:VIC-3D 实测数据表明,FCGR 与 rp、rc 呈类 Paris 公式的指数关系,其中低载荷比/裂纹扩展前期,FCGR 由循环塑性区(rc)主导;高载荷比/裂纹扩展后期,FCGR 由单调塑性区(rp)主导,为多参数耦合建模提供了明确的规律依据;
· 等效塑性区尺寸定义:基于 VIC-3D 实测的 rp、rc,结合断裂韧性 KIC、Kmax 定义等效塑性区尺寸 reff1=KIC/Kmax·rp+(1−KIC/Kmax)·rc,实现了单调/循环塑性区的加权耦合,兼顾了不同工况下两类塑性区的影响;
· 模型拟合与验证:通过 VIC-3D 获取不同载荷比下的 reff 与 FCGR 数据,拟合得到归一化的 FCGR 预测模型 dN/da=C6(reff)m6,模型相关系数 RCORR²=0.966,远高于基于应力强度因子 K 的传统模型(RCORR²=0.926),且适用于 R≥0 的线弹性/弹塑性全工况。
此外,VIC-3D 测得的宏观塑性变形结果与扫描电镜(SEM)的微观断口形貌分析高度吻合:断口疲劳条纹对应 VIC-3D 实测的循环塑性变形,韧窝/撕裂棱对应单调塑性变形,成功实现了宏观变形与微观形貌的跨尺度验证,进一步证实了模型的物理合理性。
四、总结:VIC-3D 的核心价值
在研究中,VIC-3D 数字图像相关系统作为关键实验技术手段,为疲劳裂纹扩展速率的多参数表征提供了“从实测到建模”的全流程数据支撑,其核心价值主要体现在四个方面:
1. 突破理论与测量局限:通过全场应变测量,实现了裂纹尖端塑性区真实形态的精准识别与等效尺寸的定量计算,修正了 Irwin 理论模型在弹塑性条件下的偏差,解决了传统单点测量无法反映塑性区全场分布的问题;
2. 揭示多因素演化规律:精准捕捉了裂纹长度、载荷比对裂纹尖端应变/应力场、塑性区尺寸的调控机制,明确了单调/循环塑性区在不同 FCGR 阶段的主导作用,为多参数建模提供了坚实的实验依据;
3. 支撑高精度模型建立:实测的 rp、rc 成为等效塑性区尺寸定义的核心数据,基于此建立的预测模型兼顾了载荷比、断裂韧性、塑性区演化的综合影响,拟合精度远高于传统 K 参数模型,且适配线弹性/弹塑性全工况;
4. 实现宏微观协同验证:将 VIC-3D 的宏观塑性变形测量结果与 SEM 的微观断口形貌分析相结合,建立了“宏观塑性区演化-微观断裂特征”的对应关系,进一步验证了模型的物理合理性。
研究通过 DIC 技术与断裂力学的深度融合,实现了疲劳裂纹扩展速率的多参数精准表征,而 VIC-3D 系统的全场化、高精度、非接触式测量能力,成为“可视化”裂纹尖端塑性变形、解析其与 FCGR 内在关联的关键,为工程结构弹塑性条件下的疲劳安全评估提供了全新的实验方法与建模思路。
参考文献:Zhao X, Li J, Sun T, et al. Characterization of fatigue crack growth rate by digital image correlation measurements of the plastic zone considering multiple parameters[J]. Engineering Fracture Mechanics, 2025, 315(000).
DOI:10.1016/j.engfracmech.2025.110814.
关键词
数字图像相关(DIC);疲劳裂纹扩展速率;裂纹尖端塑性区;全场应变测量;TC4ELI 钛合金;多参数建模;弹塑性断裂力学







